摘要:為解決中、大功率等級IGBT的可靠驅動問題,本文提出了驅動電路的關鍵參數設計方案。同時,在變流器極端工況下研究了IGBT的相關特性,提出了極端工況IGBT的保護措施,包括IGBT柵極電壓應力防護、VCE電壓應力抑制、過流與短路等工況的保護措施及工作原理。對電壓應力抑制的關鍵方案:有源鉗位、高級有源鉗位、軟關斷等特性進行理論分析,并給出解決實際問題的應用電路。通過雙脈沖試驗驗證了文中提出的相關理論的科學性以及給出的解決方案的可行性。
引言
絕緣柵雙極型晶體管IGBT(insulated gate bipolar transistor)是一種將MOSFET(場效應晶體管)和GTR(電力晶體管)集成于一體的復合型器件。IGBT以其優良的開關特性、易于驅動觸發、穩定的熱性能、較高的電流承載能力、較高的阻斷電壓等優點,廣泛應用于機車變流器、風能、光伏、UPS、變頻器等領域。
IGBT在變流設備工作中承擔著功率變換和能量傳輸的關鍵作用。據有關工程應用技術數據顯示,由于IGBT損壞而造成的各類變流設備發生故障的概率超過90%。因此,IGBT的安全可靠應用問題已成為國內外相關領域專家、學者及工程技術人員的研究熱點。IGBT的應用可靠性問題,相當大的比重在于其驅動可靠性及其保護的設計。本文以IGBT驅動為研究對象,從IGBT的驅動電路設計要點、柵極保護電路、電壓應力防護以及過流與短路保護等方面展開,給出IGBT可靠驅動的理論分析及電路解決方案。
1 IGBT驅動關鍵參數
變流設備的核心器件IGBT在功率變換中起著關鍵作用。IGBT本身的工作特性,直接影響著變流器的性能,而直接影響IGBT工作性能的驅動電路,其設計的合理性也就決定變流器的各項性能指標。
第一,IGBT驅動電路要根據具體的IGBT參數設計驅動電路的功率,包括驅動的平均功率與瞬時峰值功率。驅動電路的功率直接決定其能否穩定驅動相應的IGBT,保證IGBT可靠開關動作。驅動電路的功率要根據IGBT具體規格而定,主要涉及柵極電荷QG。第二,IGBT的關斷電流拖尾效應也是驅動電路設計所要研究的問題之一。采用負向的柵源電壓可將IGBT快速關斷,從而防止電流拖尾效應。負向的驅動關斷電壓也可抑制米勒效應,防止IGBT誤導通。第三,要保證IGBT低的通態損耗,就必須使其在安全導通時有較低的飽和壓降,這樣就要求較高的驅動開通電壓,但不能超過其限值±20V,因此,選擇15V為開通電壓。第四,要盡量減小驅動電路的功率,負向的關斷電壓大小可以有效優化驅動功率。過低的負向關斷電壓必然造成較大的驅動功率,因此,根據相關數據資料,選擇負向10V的電壓來可靠關斷,且驅動功率也有所減小。第五,IGBT寄生參數對功率回路及驅動電路的影響也必須要重視,輸入電容、米勒電容、輸出電容等直接影響IGBT的開關動作特性及驅動電路的各項參數。圖1所示為IGBT驅動電路的基本構成。

2 IGBT柵極保護分析
IGBT柵極G與發射極E間氧化膜厚度較小,極易由于過電壓而擊穿。一般的IGBT,其G、E間最高耐壓為±20V,超過此電壓范圍將會損壞IGBT。為此,在驅動電路設計中增加此處的保護功能,保證IGBT安全可靠。
IGBT由于柵極過壓而損壞的情況,一般有兩種。第一,在變流設備出廠后的運輸途中,或未投入運行時,由于靜電電荷不斷積累,G、E間的靜電電壓持續增大,當超過IGBT G、E間所能承受的電壓范圍后,將會擊穿IGBT的柵極氧化膜,從而損壞IGBT。第二,IGBT在變流器正常運行中,由于電路中的電壓、電流及磁場的突變,在G、E間產生電壓尖峰,也會對IGBT產生很大的威脅。以上兩個工況需要通過IGBT柵極保護電路設計來解決。第一,為防止靜電電荷不斷積累而使G、E間電壓增大,在G、E間直接放電阻,將靜電電荷釋放,電阻值一般為10kohm。第二,采用G、E間增加TVS管(瞬變電壓抑制二極管)來抑制電路中電流與磁場等相關物理量突變而引起的柵極過電壓?;蛘撸部稍跂艠O與驅動的正向電源上增加鉗位的肖特基二極管來將柵極的電壓尖峰釋放在電源上。圖2所示為IGBT柵極保護設計。
3 IGBT電壓應力抑制
有關數據表明,IGBT在其整個生命周期中,因電路中超過其所能承受的電壓而擊穿損壞的占整個IGBT失效類型的比例較大。為此,在IGBT驅動電路設計中,有關其過電壓防護問題顯得尤為重要。
IGBT出現過電壓的現象主要由于電路中過大的電流變化率而導致,如式(1)所示。其中,VCE為IGBT集電極與發射極兩端電壓;Ls為電路中雜散電感;di/dt為IGBT電流的變化率,此處一般為電流的下降速率。由式(1)可見,關斷電壓應力大小主要取決于兩方面:第一,電路中的雜散電感量;第二,電流的變化率。這兩個方面直接決定應力的大小。因此,減小電壓應力的方法有兩種:第一,盡量減小線路中的雜散參數,即寄生電感量,但該方法的成效有限;第二,通過電路的設計,減小電流變化率,從而降低電壓應力。本文中主要針對第二種方法進行研究。

對于電路中較大的電流變化,主要發生在電流較大時,IGBT的關斷狀態,包括變流器過流或短路等狀態。為保證此刻IGBT關斷電壓應力不超標,就應該將電流變化率減小。流過IGBT的電流變化率主要由其關斷的速度決定,因此,可以通過減小IGBT關斷速度來減小電流變化率。而減小關斷速度的方法一般有兩種:第一,采用有源鉗位的方法,當采集到電壓應力過高時,利用相關電路將該信號反饋給柵極,即主動給柵極注入電流,使正在關斷的IGBT再次開通,從而減小電流變化率,減小電壓應力;第二,驅動電路中采集IGBT的電壓應力,在電壓應力過高時采用相關邏輯電路,將其緩慢關斷,等效與較大的柵極驅動電阻值,從而減小電流變化率,進而減小電壓應力。
圖3為有源鉗位電路工作原理圖,由TVS管和恢復二極管構成。當集電極電位過高時,TVS被擊穿,有電流流進門極,門極電位得以抬升,從而使關斷電流變化率減小,進而減小尖峰。這個鉗位過程的本質是一個負反饋環路,給定的是TVS擊穿點,被控對象是集電極電位。
當檢測到IGBT的VCE較高時,觸發軟關斷有效,將IGBT的關斷速度減緩,從而減小電流的變化率,抑制電壓應力。軟關斷的過程可以等效為IGBT的關斷電阻Roff變大的狀態,如圖4所示。

4 IGBT過流及短路保護
(1)IGBT過電流保護
變流器在一般工作時,過流是一種較為常見的狀態。在過流時,承擔功率變換的IGBT由于工作電流增大會直接影響其可靠性。在高頻變流器中,IGBT一般工作在開、關狀態,充當高頻的開關器件,因此處在開、關狀態的IGBT一般有兩種狀態:關斷(或稱為截止)和導通(即飽和導通)。處在導通狀態的IGBT的飽和壓降很小,因此,IGBT本身的導通損耗就會很小。但是,當IGBT發生過流時,如果沒能及時處理,IGBT的電流持續上升,一般的IGBT的工作電流大概為額定電流的3到4倍時,會發生退飽和的現象,即IGBT會退出飽和導通區,進入放大即線性區。在線性區內,IGBT的VCE電壓較高,而且工作電流又很大,IGBT的瞬時功率將會較大。對IGBT來說,超過其安全工作區,有過功率損壞的風險。
為此,在變流器發生過流時,為保證IGBT的安全,需要及時關斷。然而,IGBT在過流時關斷過快,也就意味著電流變化率較大,這樣,按照IGBT電壓應力抑制的分析,其關斷時會有較大的電壓尖峰,對IGBT造成威脅,因此,在關斷IGBT時可采用有源鉗位或者軟關斷的方法抑制電壓應力。綜合以上分析,在IGBT發生過流時,必須將其安全可靠地關斷。
(2)IGBT短路保護
變流器在工作時由于負載側故障而引起短路,輸出電流會急劇上升,導致IGBT的工作電流也會對應急劇上升。一般地,對IGBT而言,短路分為兩種情況:第一,變流器的橋臂內發生直通,回流路徑很小,其等效負載也非常小,近似為零,一般稱為一類短路。第二,變流器短路點發生在負載側,等效短路阻抗較大,稱為二類短路。二類短路一般也可認為是變流器較嚴重的過流發生。在短路發生時刻,如果不采取相關措施,就會導致IGBT快速進入退飽和,如IGBT過流保護分析,其瞬態功耗超過限值而損壞。因此,當短路發生時,要盡快關斷IGBT,而且關斷的速度要平緩,保證電流變化速率在一定范圍,避免關斷過快而引起電壓應力超過限值而損壞IGBT。
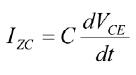
當一類短路發生時,流過IGBT的工作電流上升非???,在很短時間內達到退飽和電流。如果在此刻將IGBT關斷,電壓尖峰將非常大,很有可能超過限值。為此,在一類短路發生時,將IGBT緩慢、可靠關斷非常重要。為了使得驅動電路在盡可能短的時間內響應電流變化,在有源鉗位的方案中增加快速響應措施,使得IGBT驅動能夠盡快動作。具體措施如圖5所示,在TVS管上并聯陶瓷電容,該電容高頻特性較好,能夠響應高頻的電流變化,當IGBT的集電極電壓發生快速變化時,該電容可以通過電流信號將變化及時地反饋給IGBT柵極,這樣,柵極由于此電流的注入而從即將關斷的狀態進入再次開通的狀態,對IGBT本身來說,其電流的變化率就不至過快,確保其較小的關斷電壓尖峰。IZC可通過以下公式計算得到。對于一類的橋臂直通的短路和二類的較大負載的短路,除采用高級有源鉗位的方法外,也可采用軟關斷的方法處理,二者的區別在于,軟關斷的瞬時功耗較大,對變流器本身來講,如果長時間的處于短路狀態,效率會有所降低,與此同時,IGBT會有熱應力的風險。

5 試驗結果
針對1200V/2500A的IGBT,進行雙脈沖試驗,對設計的IGBT驅動電路基本的驅動能力、柵極保護、電壓應力抑制的有源鉗位、軟關斷等功能及性能表現進行實驗驗證。

試驗平臺按照圖6所示搭建,IGBT模塊為半橋結構,其中上管C、E間連接電感L來模擬負載,同時保證上管在試驗中處在關斷的狀態。給下管G、E間輸入圖中所示的驅動信號,即設置兩次開通,且開通與關斷的時間T1、T2、T3可控。通過該雙脈沖試驗,可以有效驗證驅動電路在變流器換流時的功能與性能。圖7與圖8為實驗測試波形,兩圖中通道1均為下管門極與發射極電壓VGE;通道2均為下管集電極與發射極電壓VCE;通道3均為集電極電流IC。圖7中可以看到當達到VCE門限值時,VGE電壓上升,延緩了IGBT的關斷速度;如圖8所示,當檢測到較大VCE電壓尖峰時,VGE電壓緩慢降低,IGBT緩慢關斷,從而抑制了電壓應力。

6 結論
對于中、大功率變流器的核心開關器件IGBT,其驅動電路不僅僅要保證正常的驅動能力,還要有相關的保護措施,從而在極端工況下保證IGBT的安全、可靠。
本文從IGBT驅動的基本參數設計、柵極保護、電壓應力抑制及過流與短路等方面入手,提出了有效的解決方案,并通過相關理論及具體的電路解決措施,驗證方案的科學性與可行性。
烜芯微專業制造二極管,三極管,MOS管,橋堆等20年,工廠直銷省20%,4000家電路電器生產企業選用,專業的工程師幫您穩定好每一批產品,如果您有遇到什么需要幫助解決的,可以點擊右邊的工程師,或者點擊銷售經理給您精準的報價以及產品介紹
烜芯微專業制造二極管,三極管,MOS管,橋堆等20年,工廠直銷省20%,4000家電路電器生產企業選用,專業的工程師幫您穩定好每一批產品,如果您有遇到什么需要幫助解決的,可以點擊右邊的工程師,或者點擊銷售經理給您精準的報價以及產品介紹

